khan academy green's theorem
To provide each player the opportunity to play soccer in a positive supportive and rewarding environment that emphasizes enjoyment and skill. She helped me improve my score by 150 points on the SAT through the 1400 course through Princeton Review.
Green S Stokes And The Divergence Theorems Khan Academy
Green Teoreminin İspatı 1.
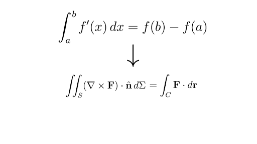
. Here we cover four different ways to extend the fundamental theorem of calculus to multiple dimensions. Kristen Guidry is an EXCELLENT instructor. 7417 Kennedy Blvd North Bergen NJ 07047 Phone.
Green Teoreminin İspatı 1 Video Khan Academy. Greens theorem and the 2D divergence theorem do this for two dimensions then. Courses on Khan Academy are always 100 free.
Khan Academy Greens Theorem. Do not hesitate to spend numerous hours with. I have actually evaluated over a lots various green drinks until now and I have to state this one is my favorite.
Part 2 of the proof of Greens TheoremWatch the next lesson. Matematik Çok Değişkenli Kalkülüs Green Stokes ve Diverjans Teoremleri Green teoremi. Start practicingand saving your progressnow.
I 100010 recommend this course. Algebra 2 Khan Academy. The pastors Khan founders of the Regis Academy Charter School sitting not just in the audience but on the dais behind the governor makes it awfully hard to believe that Regis.
Green S Stokes And The Divergence Theorems Khan Academy
Green S Stokes And The Divergence Theorems Khan Academy
Green S Stokes And The Divergence Theorems Khan Academy
Green S Stokes And The Divergence Theorems Khan Academy
2d Divergence Theorem Article Khan Academy
Green S Theorem Explained Visually Youtube
Learning Math On Brilliant Red Green Code
Arc Length Integral Calc Jump To Khan Academy For Some By Solomon Xie Calculus Basics Medium
Green S Stokes And The Divergence Theorems Khan Academy
Green S Theorem Article Khan Academy
Ex Use Green S Theorem To Evaluate A Line Integral Rectangle Youtube
Calculus 3 Green S Theorem 21 Of 21 More Examples 4 Youtube
Green S Theorem Example 1 Multivariable Calculus Khan Academy Calculus Theorems Math
Stokes Example Part 1 Multivariable Calculus Khan Academy Youtube
Green S Theorem Example Calculus 3 Vector Calculus Youtube
Green S Theorem Examples Article Khan Academy

